Hi community I have a case for you, and I hope you can help, that is the case. I need interpolate using the ideology of excel or other if you have for interpolate between null values, as the next picture
VALUE A is my only varibale, so I need hold on the values before null, for interpolate as we do in excel.
Any Idea??
Solved! Go to Solution.
hey @adoen17
Would you be able to explain how you'd go about doing this in excel? I am not sure I understand based on your screenshot.
From there we can assess how to replicate in Alteryx.
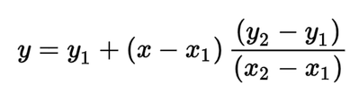
using this formula between 2 knows value, and find (y) for my (x) in this case value A. I already solve it.
Using the idea of https://community.alteryx.com/t5/Alteryx-Designer-Discussions/Linear-Interpolation-of-Values/td-p/19... but adding the VALUE A, as you can see in my excell.
