Foro

RESUELTAS

Interpolación por múltiples null

aden08
Cometa

Hace unos días postee algo interesante en cuanto a una interpolación matricial, pero solo tenía una entrada, era relativamente fácil.

Para el caso mostrado:

aden08_0-1671642465372.png

donde en la tabla de la izquierda se puede resolver sin problemas, que solución podrían ver para la tabla de la derecha, donde el primer campo es variante pero puedes seguir interpolando entre los dos ultimos datos antes non null.

4 RESPUESTAS 4
aden08
Cometa

aden08_0-1671648636037.png

A esto es lo que me refiero, detectar el valor previo al nulo y mantenerlo fijo.

grchavarri
Bólido

Hola @aden08 , has probado a utilizar, multirow-formula? 

 

Aqui solo habria que entender si tu tabla es de un largo fijo o puede ir variando con el tiempo. 

 

Hay una configuracion de la multirow formula que te puede ayudar, y es que puedes operar tantas filas arriba o abajo como quieras simplemente añadiendolas en este boton que te enseño en la imagen. Esto te permitirá formular utlizando varias filas y por tanto puedes hallar maximos y minimos sobre los que interpolar sin problema. 

 

grchavarri_0-1671699771872.png

 

Otra opción para esto, es que calcules con un sumarize, el minimo y el maximmo non null y los persistas como una columna adicional en tu tabla, utilizando un append y y a partir de ahi hacer los calculos linea a linea. 

 

Cualquier duda estamos a tu disposicion, espero sea de ayuda. 


Saludos,

 

aden08
Cometa

Es de rango variable @grchavarri por eso esa opción no me lo permite en todo caso, habría sido la solución a todos mis problemas, además esos null que ves no son los únicos hay multiples a lo largo de todo el set de datos. Por ende, la interpolación a de ser dinamica

aden08
Cometa

aden08_0-1671720065934.png

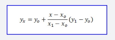
Utilice una idea del siguiente link: https://community.alteryx.com/t5/Alteryx-Designer-Discussions/Linear-Interpolation-of-Values/td-p/19...

pero dado que mis puntos no eran tan lineas está idea no caía dentro del todo y la pendiente era demasiado variable. Como pueden ver existen varios multirows. La idea con ella es crear columnas que contengan los valores entre los que interpolaré (y values) y mis valores x que eran condicionales para obtener un resultado aceptado.

aden08_1-1671720225173.png

Interpolar entre nulos fue todo un reto y existen pocas soluciones validas, cualquier duda a la orden.

Etiquetas