Hello,
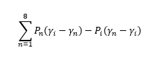
I am trying to do a sum over indices and am unsure how to go about it. I've tried the Multi-Row formula, but it is pretty cumbersome and has been returning a 0 value. I would like to perform something along the lines of the following:

Where 'n' corresponds to the row number, and 'i' is the current (active) row. My data looks like this:
| n | P | gamma |
| 1 | 0.05 | .05 |
| 2 | 0.10 | .05 |
| 3 | 0.10 | .05 |
| 4 | 0.15 | .1 |
| 5 | 0.20 | .15 |
| 6 | 0.25 | .2 |
| 7 | 0.10 | .2 |
| 8 | 0.05 | .2 |
Thanks for your help!