When calculating the StdDev with the Summarize tool, what is the cutoff between when Alteryx uses the StdDev of a population formula vs. the StdDev of a sample formula? How does it know? I am wondering because Excel explicitly allows users to choose STDEV.P or STDEV.S and is there a way to have Alteryx calculate the equivalent of a STDEV.P on a sample as can be done in Excel with little finagling?
For example, for the below array, Alteryx is using the Summarize tool>StdDev for a sample formula and not population formula because it knows better, but what if I wanted it to use the population formula regardless of the sample size.
([100.1, 99.975, 100.1, 100.1])
STDEV.P: 0.054126588

Alteryx StdDev (outputs the STDEV.S only because it knows better): 0.0625

Population calc vs. sample calc variance: -0.008373412
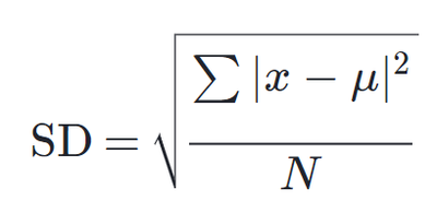
StdDev of a population formula:

StdDev of a sample formula:

Works cited:
https://www.khanacademy.org/math/probability/data-distributions-a1/summarizing-spread-distributions/a/calculating-standard-deviation-step-by-step