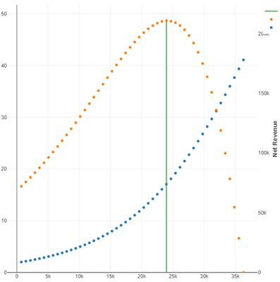
I am creating a dual axis chart using interactive chart tool. When I choose the chart type as "Scatter" the graph is displayed as below

But When I try to convert it into line chart, instead of getting a smooth line, I am getting the line chart as below

Am I missing any configuration here? Thanks in advance.