Hi, I have two tables with similar values. Example, table 1(template table) and Table 2 both have Area Code, however, the number of rows are not the same. I tried to use Find and Replace Tool, but it only returns the first match. For your reference, im attching pictures and sample workflow. Hope you can help me.
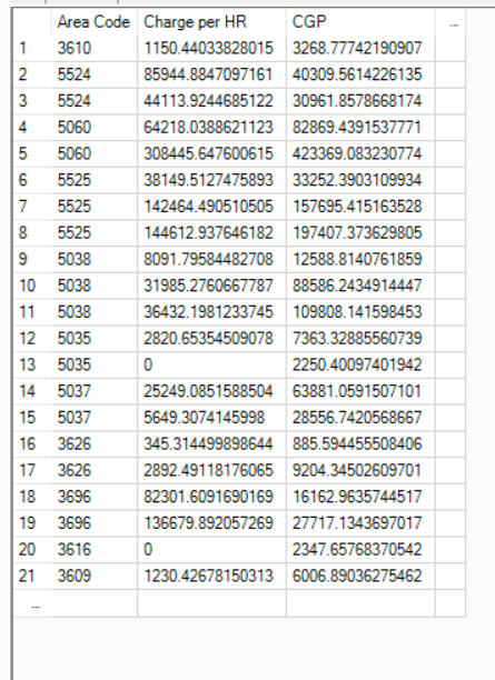
Table 1 (This is the template table)

Table 2 (this has values for Charge per HR and CGP which I need to append to Table 1 using their respective Area Code)

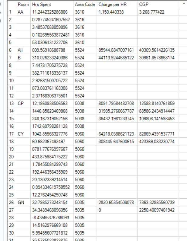
Table 3 (basically table 1 but now with values for Charge per hour and CGP) ps: All blanks will be set to 0 value
